
Behind closed doors, the former State Department official leading the workshop revealed the group’s ultimate goal: partitioning Syria and creating a de facto Caliphate for a rebranded Al Qaeda offshoot.
“This July 30, I registered under an alias to join a workshop organized by the Syrian American Council (SAC), the leading voice of the lobby that aims to starve and destabilize Syria into submission to the West’s demands. The workshop instructed SAC members to advocate for the most recent Syria regime change bill, H.R. 3202, during those visits.
During the seminar, I was able to witness firsthand the impact of the anti-Syria lobby and understand the cynical tactics it employs to condemn the population of Syria to poverty and famine.
Most recently, the lobby successfully ended the life-saving sanctions exemption known as General License 23 (GL 23), which allowed humanitarian aid into Syria following the catastrophic earthquake that struck the country this February. The lobby succeeded in ending GL 23 by pushing a lie that workshop leaders repeated without end: “the sanctions only affect the Syrian government and not the people.”
In truth, the sanctions have done incalculable damage to the Syrian people, as the UN’s Special Rapporteur on sanctions, Alena Douhan, noted in an interview with The Grayzone in 2021. Relaying the words of a civilian she’d spoken with earlier that day, Douhan explained that “the impact of unilateral sanctions on the Syrian population can be pretty equivalent to those of the conflict itself.”
But for some, it’s still not enough. Chief among them was the man leading the workshop, Wa’el Alzayat, a Syrian American veteran of the State Department who recently authored an op-ed entitled, “Don’t lift sanctions on Syria to help earthquake victims.”

During the workshop he helped to lead, Alzayat called for Syria to be broken up into a series of “independent states,” making way for a new de facto Caliphate in the region of Idlib led by a rebranded Al Qaeda offshoot designated as a foreign terrorist organization by the US government.
A sanctions loophole saves Syrian lives
On February 6, 2023, a new layer of misery enveloped Syria when massive, back-to-back earthquakes struck the country. The natural disaster compounded the man-made calamity brought on by the Western and Gulf states that fueled the armed insurgency which ravaged Syria for over eight years.
More than 7000 people were killed in the quakes, and 9 million Syrians were estimated to have been affected by the natural disaster. They also claimed 50,000 lives in bordering Turkey, where the situation drew far more attention from Western outlets. On the infrequent occasions that the suffering of Syrians earned a mention, legacy media tended to pin the blame for the tragedy on President Bashar al-Assad, accusing him of exacerbating the crisis by not permitting complete freedom of movement to and from areas still controlled by Al Qaeda-aligned militants.
On the 9th of February — after the crucial 72-hour period during which the majority of lives are saved following an earthquake had already passed — the US Department of Treasury’s Office of Foreign Assets Control (OFAC) issued Syria General License (GL) 23, which authorized all transactions related to earthquake relief that would be otherwise prohibited by the Syrian Sanctions Regulations (SySR) for 180 days.
Ultimately, the license provided much needed relief for the country’s humanitarian organizations by carving out exceptions for the financial institutions that backed them. As the Carter Center explained in a July 11th white paper, the GL succeeded by allowing non-US actors to conduct transactions with Syrians, assuring financial institutions that they wouldn’t run afoul of US law by facilitating exchanges, and helping synchronize relief efforts by establishing new opportunities for dialogue between international aid agencies.
In my capacity as director of a Massachusetts-based NGO called Project Onwards, which raised $30,000 in earthquake relief funds following the February 6th disaster, I was able to witness the impact of American sanctions firsthand. Throughout the raising and dissemination of the funds, the NGO faced one hurdle after another from financial institutions including Venmo, Paypal, Bank of America, and others — an experience I recently related in an interview with MarketWatch. These obstacles largely ceased upon the announcement of GL 23.

Just 48 hours after the earthquake, Project Onwards was informed that its account had been frozen due to a $5.00 donation which included the word “Syria.”
For most Syrians, the passage of GL 23 — which briefly allowed them to conduct financial transactions with international entities — was a welcome and long-overdue development. But the limited financial freedom was anathema to the expatriate Syrian regime change lobby, which has functioned as a political extension of the armed bandits that wreaked havoc on Syria, and will stop at nothing in its bid to starve the country’s population into submission.
A strange amalgamation of diehard anti-government activists and former US government employees, the anti-Syria lobby is horrified by the prospect of Syrians returning to some sense of normalcy under President Bashar al-Assad.
The anti-Syrian lobby clears the way for discontinuing General License 2023
On August 8th, after the allotted 180-day period came to an end, The Treasury Department announced that the life saving GL 23 would not be renewed. The European Union extended its own earthquake license through the 24th of February 2024, the United Kingdom extended its own indefinitely, yet the U.S. alone returned to a post-earthquake status quo of draconian sanctions on the Syrian people.
The Biden administration’s refusal to renew the crucial exception can be largely attributed to Washington’s unchanged policy of regime change in Syria. After eight years spent backing jihadist and sectarian groups on the ground in its dirty war on Syria, the US shifted from pushing military conflict to encouraging economic suffocation. But the end goal had not shifted, nor had the ultimatum undergirding US policy: remove Bashar al-Assad or see Syria burn.
Although the decision was ultimately Washington’s, a constellation of NGOs and non-profit groups cleared the path. This network of organizations is composed of a handful of sectarian, personal-grievance driven actors hiding behind ten national organizations that put a Syrian face on Washington’s economic war on Damascus.
These loud few are almost all verified on Twitter/X while their peers in Syria cannot register on Twitter/X using the 963+ country code. Therefore the advocacy the lobby pushes for gets amplified by State Department talking heads, neocons, and war hawks, while Syrians suffering the result of the lobby’s advocacy are effectively muzzled by Western sanctions regime.
The Anti-Syria lobby fights to prevent humanitarian aid
Starting on the 9th of February, while residents of Aleppo were still trapped in the ruins caused by the earthquakes, the Anti-Syria lobby immediately declared any form of sanctions relief as a “loophole” for the Syrian government to abuse. During the 180-day pause, the lobby bombarded Washington with public calls to the Biden administration, Op Eds in major mainstream publications, and direct lobbying through Middle East think tanks’ policy papers giving it the warrant it needed not to renew GL 23.
The use of this lobby as a weapon of oppression by Washington is clearly on display on American Council for Syria (ACS)’s facebook page, where the group wrote on July 25 that they were calling on the Biden administration to “reject any efforts to extend Syria General License 23,” arguing the humanitarian carveout “allows unrestricted transactions with the Assad regime.” Weeks later, the groups got their wish, and lawmakers in Washington opted not to renew the life-saving exemption.
While the lobbyists claim to speak on behalf of all Syrians, the underwhelming reaction to the stream of slick, professionally-produced material they publish on social media indicates otherwise. A Facebook post celebrating GL23’s demise which thanked the group’s “tireless efforts of the team, and allies” netted a grand total of 2 ‘likes.’ But despite the clear unpopularity of ACS, they are far from the only anti-Syrian outfit in DC.
The Syrian American Council honors warmongers, suppresses antiwar voices
The ACS is often joined in their efforts by the so-called Syrian American Council, one of the dozen or so organizations that make up the anti-Syria lobby in Washington. Throughout the course of the last decade, the neocon-aligned 501 (c) NGO has pushed for American military intervention in Syria. The SAC is currently run by Suzanne Meridien, a professed admirer of late Arizona Senator John McCain, whose fanatical support for US military assaults on Iraq, Afghanistan, Libya, and Syria made him one of the most notorious war hawks of the last two decades.

https://x.com/sa_council/status/1033528958908805120?s=46&t=NwFm0M7XA30VQirum6qcxA
As The Grayzone has reported, SAC has spearheaded campaigns to silence dissenting views on Syria, including by intimidating the Washington DC-based bookstore Politics & Prose into canceling a book presentation by Grayzone editor-in-chief Max Blumenthal.
New bill aims to condemn Syria to starvation and civil war for another generation
In early May, another blow to Syrians’ collective future came in the form of a new sanctions package introduced by Rep. Joe Wilson, the hyper-interventionist Republican Chair of the House Foreign Affairs Committee. If passed, Wilson’s Assad Regime Anti-Normalization Act of 2023 (H.R. 3202) would condemn Syrians to another decade of one of the harshest economic sanctions regimes on the globe by extending the crushing Caesar Act (H.R.31)sanctions to 2032.
What’s more, the bill seeks to enlarge the umbrella of sanctions to encompass any foreign nationals conducting business with the Syrian government and placing them on potential sanctions watchlists. If H.R. 3202 passes Congress, the US government would be obligated to use its “full range of authorities” to “deter reconstruction activities in any areas under the control of Bashar al-Assad.”
In addition, the bill would also require that the federal government oppose any form of normalization with Syria by its neighbors and potentially punish other states — including ostensible US allies like the U.A.E., Bahrain, Jordan, and Saudi Arabia — who seek to reestablish diplomatic ties.
In essence, H.R. 3202 serves to reaffirm the 2019 Caesar Act which has grown infamous for its role in immiserating the Syrian population, destroying the Syrian currency, keeping 90% of Syria below the poverty line, and forcing millions of Syrians into starvation.
As Joshua Landis, one of the country’s few independent experts on Syria, explained in his analysis of the bill, “so long as the Syrian economy remains in ruins, more refugees will flow out of the country, the illegal drug trade will increase, and more Syrians will join radical groups.”
And that’s precisely what the Syrian American Council set out to do with its campaign for the passage of H.R. 3202.
A workshop on how to starve civilians
In early July, the SAC announced it was opening registration for a workshop called “Mobilizing for H.R. 3202: In-District Engagement,” was to train budding activists in the art of pressuring politicians to help sabotage another nation’s economy.
Naturally, when some of the country’s most dedicated regime change operatives offered the chance to see firsthand how deadly sanctions can be imposed on a nation without any real popular support, I leapt at the opportunity.
Leading this How-to-Sanction-101 workshop was none other than Wa’el Alzayat, a veteran State Department asset who proudly served “with honors” under liberal interventionists like the current USAID director, Samantha Power, and the former US ambassador to Syria, Robert Ford. Alzayat’s most recent contribution to Syrians’ wellbeing came in the form of a ghoulish op-Ed in the Washington Post which was originally titled: “Don’t lift sanctions on Syria to help earthquake victims.”
Alzayat is also the CEO of Emgage an Open Society Foundation-funded organization that aims to increase American Muslim civic engagement. The organization and Alzayat were subjects of an in-depth investigation by Electronic Intifada demonstrating Emgage’s links to pro-Israel organizations and the projection of US power abroad, often while ignoring the Palestinian cause.

Alzayat’s neoconservative views were perhaps most clearly crystallized in a 2017 opinion piece for the AIPAC-linked Washington Institute for Near East Policy in which he pushed for US military strikes on Syria, Iraq, and Iran by invoking a new Weapons of Mass Destruction panic:
“The [Trump] Administration needs urgently [sic] a comprehensive approach toward Iran, centered in Syria and Iraq, including military means, to restore regional stability. Otherwise, new disasters, fueling extremism and likely new WMD programs, will emerge.”
During the SAC workshop, Alzayat directed members to push their elected representatives to back legislation meant to thwart any economic recovery in Syria. While H.R.3202 was the main focus, Wa’el and other SAC leaders encouraged attendees to familiarize themselves with H.R.590, H.R.4868, H.R.4681 — all bills that directly or indirectly target Syria, its economy, and its people.
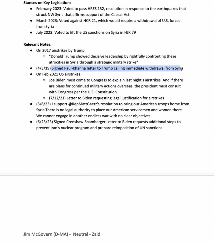
The workshop even included a mock meeting with hypothetical members of Congress such as Rep’s Andy Biggs and Jim McGovern, in which SAC members were instructed to evoke a given lawmaker’s prior voting record and membership in different caucuses in order to secure their support for anti-Syrian legislation.


During the workshop I got to see first hand how the Anti-Syria lobby operates and how it exploits individual ambition, financial interest, and ignorance to drive its campaign for crushing sanctions.
The workshop focused on 6 main “policy priorities” regarding Syria, a series of self-contradictory goals representing the new and increasingly creative push in Washington to subject Syrians to endless economic deprivation.

The Anti-Syria lobby’s twisted priorities
As the session began, the neocolonial nature of the SAC’s “policy priorities” immediately became clear when Alzayat announced the group’s first stated goal: “restoring U.S. leadership” in the sovereign state of Syria.
The dynamic proposed by the anti-Syrian activists was framed innocuously, with the group urging their members to call on elected officials to pursue a “diplomatic track” to a political solution and request that they “work toward formalizing a nationwide ceasefire across Syria.”
But the pretense of progressivism quickly evaporated when Alzayat inadvertently revealed the group’s actual agenda. If they could pressure US policymakers to force a ceasefire in Syria, the lobbyist explained, they’d be one step closer towards their ultimate goal of attempting to “help” the country’s northwestern and northeastern regions “become independent.”
In practice, this would mean converting the terrorist organization which publicly described itself to be the Syrian branch of Al Qaeda until 2016 into a nation-state, and permanently consigning the estimated 4 million Syrians living under their rule to a barbaric salafist-jihadist interpretation of Sharia. 21 years after President Bush famously insisted that “no nation can negotiate with terrorists,” the influential anti-Syrian lobby has apparently decided that not only can we negotiate with the terrorists, but that we should help them establish their own caliphate.
Under current conditions, the ceasefire proposed by the former State Department official would facilitate several outcomes favored by the American foreign policy establishment. Though an “independent” northwest Syria would almost certainly continue to be a hotbed of terrorist activity, the proposed caliphate’s actions would likely target areas held by the Syrian government – to begin with, at least.
And while it would lack access to water or ports, the creation of a Kurdish rump state in northeast Syria would achieve a similar strategic objective. In addition, enforcing the ceasefire would require Syria’s indefinite occupation by US military forces, who could also point to the existence of these same terrorists in northern Syria to justify their presence.
After outlining its blueprint for Syria’s balkanization, the Syrian American Council presented a slide (below) on how to “Restore U.S. Leadership” in Syria.

The lobby’s “key asks” on this point call for the appointment of a “seasoned Syria Envoy” to help “reinvigorate the political track.” Throughout the workshop, Alzayat encouraged participants to refer any further questions and concerns that may arise during these in-office meetings back to him and his office at ACS – likely a not-so-subtle hint that Alzayat may imagine himself as the perfect man for the job.
The SAC also urged its members to ask lawmakers for a Syrian ceasefire led by “Turkey and like-minded allies” – a demand which ignores Turkey’s role in depriving Northern Syria of over 50% of its water supply, and its role in funneling huge quantities of jihadists and weapons caches into Syria over the last decade. As the steward of the “Jihadi Highway,” the Turkish government facilitated the arrival of hundreds of thousands of terrorists, who’ve sought since 2011 to establish a brutal Islamic caliphate in secular Syria, with varying degrees of success.
Despite the best efforts of State Department officials like Alzayat, a budding rapprochement has begun to take place between the Assad government and its neighbors. Though relations were originally severed amid the dirty war in Syria, Syria has since restored ties with Tunisia, Iraq, Egypt, the UAE, Jordan, Lebanon, Algeria, Mauritania, Bahrain, Kuwait, Libya, Oman, Comoros, Sudan, Yemen, Somalia, and most recently, Saudi Arabia.
H.R. 3202 was introduced against this backdrop, in which a regional consensus against isolating Syria has begun to emerge. Claiming that “regional attempts to normalize with the Assad regime set a dangerous precedent,” Alzayat instructed his followers to push politicians to pass the so-called “Assad Anti-Normalization Act,” which he notes “solidifies the U.S. stance” against Syria’s efforts to restore diplomatic relations with its neighbors.

Policy Priority: undermining diplomacy
Insisting that “Syria can never find peace or be stabilized with Assad in Power,” Alzayat urged participants to pressure their elected representatives into doing everything in their power to prevent international dialogue.
Experts appointed by the United Nations, Human Rights Watch, and World Food Program have all unambiguously stated that the US government’s unilateral stringent sanctions regime is the primary barrier to Syria’s reconstruction, and the main impediment to Damascus achieving internal stability and alleviating poverty and hunger. Because H.R. 3202 would extend these sanctions 8 years further and implicitly threaten Syria’s neighbors who wish to cooperate with Damascus, it’s increasingly clear the real threat to regional stability isn’t in Syria but rather in workshops like this.

One of the “key asks” of this policy priority would have SAC members request that their representatives vote in favor of H.R. 4868, also known as the “Stop UN Support for Assad Act,” which was also introduced by Rep. Joe Wilson. The proposed bill prohibits US funding for United Nations programs in Syria unless aid administrators can prove to the US State Department that they don’t “directly provide material support to Syria’s government.”
The legislation would also mandate the creation of “an independent review mechanism, if the program involves contracts in territory controlled by Syria’s government.” By pushing to place onerous barriers on the one international organization which is holding the line against mass starvation in Syria, Alzayat seeks to slash what little aid Syria receives to feed its poverty-stricken people.
While reviewing this point, SAC members were repeatedly instructed to highlight the fact that 4 million people live in northwest Syria. Somehow, no mention is made of the fact that the majority of Syrians live in areas held by the government, including the estimated 12 million who reside in the major cities of Aleppo, Damascus, Lattakia, Tartus, and Homs.
Also unmentioned are the billions of Foreign Assistance dollars that are being dumped into the only place on earth where Al-Qaeda (HTS) reigns: the US/Turkish protectorate in northwest Syria.
The penultimate priority outlined in SAC’s workshop centered on Captagon, a drug first introduced to Syria by jihadists from Turkey. It now forms a central pillar of the anti-Syria lobby’s propaganda campaign.

Leveraging drug war hysteria for regime change goals
Captagon has been described as “poor man’s cocaine” and the “jihad pill,”owing to its prolific use by NATO-backed insurgents seeking to topple the Syrian government. In recent months, Western media outlets have focused in on the drug to further tarnish the reputation of Damascus, relying on claims by neoconservative think tanks to assert that the Syrian government is its principal producer.
Captagon is reportedly consumed across the Arab world by everyone from wealthy elites to impoverished workers who rely on its stimulating effects to stay awake when pulling double shifts. And now, the drug’s proliferation is fueling the anti-Syrian lobby as well.
While elaborating on the importance of the Captagon issue, Alzayat urged members to make a hard sell to conservative members of Congress. Though some Republican representatives are anti-interventionists, he explained, they are anti-drug hardliners and would therefore support H.R.4681 or “Illicit Captagon Trafficking Suppression Act of 2023” and other anti-Syrian bills, as long as they were presented as a package deal. Workshop leaders also coached SAC members to link sanctions against Syria to the supposed threat of Captagon flowing to the US through its southern border with Mexico.
Working with the US while advocating for Syrians: a study in contradiction
In 1949, only three years after Syria gained its independence from the French, the fledgling democracy was subject to a coup by the new world hegemon. US interests were apparently threatened when Syria’s first post-colonial president, Shukri Al-Quwatli, hesitated in approving an oil pipeline path through Syria. Al-Quwatli was promptly ejected from office in what has been described as “one of the first covert actions that the CIA pulled off.”
Fast forward through the numerous other American interventions in Syria’s democracy, secularism, and freedom to the dirty war of 2011. During the worst years of the hot war between 2012 and 2016, while Al Qaeda and ISIS rampaged through half of Syria and major cities like Aleppo were besieged, Jake Sullivan, the National Security Advisor at the time, sent a two line email to Secretary of State Hillary Clinton stating: “AQ [Al Qaeda] is on our side in Syria. Otherwise, things have basically turned out as expected.”

During the CIA’s costliest covert action campaign, Al Qaeda, ISIS, and others were indeed on its side as the US flooded Syria with weapons. To this day, it is unclear how much of the $1 billion sent to arm so-called “moderate rebels” reached its intended destination.
US involvement in Syria is no longer covert, however. After ISIS attacked a bus full of Syrian Army soldiers in Deir Ezzor on August 11, the Syrian Foreign Ministry officially accused the American military of facilitating the ambush.
With a flurry of recent Israeli air strikes and terror attacks across the country, tensions are peaking between Syria and its allies on one side, and the pro-US occupation forces on the other.
So when one reads the SAC’s mission statement: “to empower the Syrian-American community to organize and advocate for a free, democratic, secular and pluralistic Syria through American support,” three questions come to mind: Can an organization credibly claim to speak for Syrians when it relies entirely on support from American billiionaires and the US government? Why does that organization seem so eager to sacrifice Syrian lives by bringing simmering tensions inside the country to a boiling point? And how are American interests served by emboldening jihadists while tempting conflict with powerful allies of Syria like Russia and Iran?
I had wanted to ask these questions directly to the Syrian American Council lobbyists leading the sanctions workshop, but for some reason, they were not interested in such a dialogue.”
Credit: Hekmat Aboukhater. Publication: The Grayzone. Published: August 21st 2023. Source Link: https://thegrayzone.com/2023/08/21/anti-syria-lobby-caliphate-starvation-sanctions/